What is the UV-Absorbing interferences in Ozone Monitors?
Discusses the various types of compounds that interfere in UV absorbance measurements of ozone and provide a way to estimate the maximum interference to be expected.
Technical Note No. 40
UV-Absorbing Interferences in Ozone Monitors
Date: 22 April 2015
Author: John Birks
Background
Ozone measurements by absorbance of the 253.7-nm emission line of a low-pressure mercury
lamp is a highly accurate method of measuring ozone in a wide range of applications, including
measurements in ambient air. The method has the advantage of being absolute in that it is based
on the Beer-Lambert Law, requiring only infrequent calibration. Very few compounds found in
ambient air have significant absorbance at 254 nm, and those that do tend to have very low
concentrations, making UV absorbance highly selective for ozone. However, in the most polluted
ambient air, as may occur in a large urban area in summer, positive interferences of up to a few
ppb are known to result from the presence of other UV absorbing compounds, especially those
containing one or more aromatic rings. Also, interferences can be quite large indoors due to a
wide range of volatile species arising from perfumes, floor wax, mercury spills (e.g., broken
thermometers), outgassing of polymers, etc.
Here we discuss the various types of compounds that interfere in UV absorbance measurements
of ozone and provide a way to estimate the maximum interference to be expected for a given
concentration of any potentially interfering compound when using a convention ozone monitor
with an internal solid-phase ozone scrubber.
Interfering Species
Mercury. The species that has by far the greatest potential for interference is mercury vapor
because mercury atoms have an absorption line that is resonate with the emission line of the
mercury vapor lamps used in virtually all UV absorbance ozone monitors. In fact, mercury
analyzers also are based on UV absorbance at 253.7 nm (cold vapor atomic absorbance).
Mercury absorbs roughly 10,000 times stronger than ozone. Thus, 0.1 parts-per-trillion of
mercury will be detected as approximately 1 ppb of ozone. Put another way, 1 ppb of mercury
vapor will be falsely measured as about 10,000 ppb (10 ppm) of ozone. For mercury there is no
single selectivity factor that applies to all instruments because the width of the mercury emission
line varies with the temperature and pressure within the lamp. Except for the vicinity of certain
mining operations (e.g., extraction of gold using mercury) or in the plume of a coal-fired power
plant or a volcano, mercury is not a significant interference in outdoor air. Mercury can be a large interference, however, in indoor air where contamination from broken thermometers or mercury
electrical switches is not uncommon. In those circumstances an interference-free ozone monitor
such as the Model 211 Scrubberless Ozone Monitor, discussed below, is required.
Inorganic gases. The principal components of air, N2, O2, Ar and H2O, do not absorb at 254 nm. Trace gases that do not absorb include H2, H2S, CO, CO2, NO and N2O. The trace gases NO2 and SO2 and H2O2 have very weak absorbances (see table below).
Aliphatic VOCs. Hydrocarbons with no unsaturation (no double or triple bonds) do not absorb at 254 nm and thus do not interfere in ozone measurements. Examples are methane, ethane,
propane, n-butane, isobutane, etc. In the parlance of molecular orbital theory, these compounds
have only high energy
electronic transitions, which occur at wavelengths much shorter than 254 nm.
Aldehydes and Ketones. Introducing a carbonyl (C=O) functionality into a compound makes
possible additional weak absorbances in the vicinity of 254 nm due to n
transitions within the carbonyl group. Formaldehyde, typically the most abundant aldehyde in ambient air, has an
absorbance that is ~10,000 times less than ozone.
Unsaturated VOCs. Introduction of a double bond into a molecule extends the absorption
spectrum to longer wavelengths via introduction of the lower energy
transition, but the
absorption spectrum does not extend out to 254 nm unless at least two double bonds are
conjugated. Thus, ethylene, propylene and the four isomers of butylene do not interfere in the
measurement of ozone. However, isoprene, with two conjugated double bonds, absorbs about
219 times less than ozone; i.e., 219 ppb of isoprene would produce an absorbance equivalent to 1
ppb of ozone. Increasing the number of conjugated double bonds extends the absorbance to
longer wavelengths and enhances the absorption cross section and thus the degree of
interference.
Aromatic VOCs. All compounds having one or more benzene rings absorb at 254 nm and
provide at least some interference in UV absorbance measurements of ozone. Benzene itself
absorbs 2.3% as strongly as ozone, so a concentration of 43 ppb will add 1 ppb to the apparent
ozone concentration. Conjugating benzene rings results in higher absorbances, but the vapor
pressure of multi-ring compounds is very low and thus their concentrations in the atmosphere are also very low.
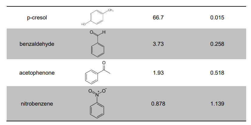
Substituted Aromatic VOCs. Aromatic rings with hydroxyl, carbonyl, nitro and other functional groups tend to have enhanced absorbance relative to unsubstituted compounds. Nitro aromatic compounds have especially high absorbances. Nitrobenzene, for example, absorbs about 14% more strongly than ozone at 254 nm. Fortunately, these compounds tend to be very low in concentration except in extremely polluted conditions.
How to Estimate the Maximum Level of Interference for Any Species
It’s easy to estimate the maximum level of interference of a given chemical species in the
measurement of ozone if the absorption spectrum of that interference is known. The selectivity
factor (S) is given by:

Here, S is the relative response of ozone to the potential interferent. Thus, the value 1/S is the
equivalent ozone response to 1 ppb of that interferent. For example, if S = 100, then it requires
100 ppb of the interferent to produce a response equal to 1 ppb of ozone. Or, 1 ppb of that
interferent will produce an equivalent ozone response of 0.01 ppb. Cross sections at 253.7 nm,
, for a wide range of potential atmospheric species may be obtained from the Max Planck Institute Spectral Atlas at:
http://satellite.mpic.de/spectral_atlas/index.html
This spectral atlas provides both graphs (linear and log) of absorption cross sections vs
wavelength and data tables. All of the known data (good and bad) are provided, so application of
some judgement is required. More recent data tend to be more accurate, and often there are
several spectra that agree well, in which case the average or median value at 253.7 nm is recommended. Also, recommendations by JPL or IUPAC review panels are preferred. For spectra with structure in the vicinity of 253.7 nm, data from higher resolution spectra are recommended because the Hg emission line is extremely narrow.
An example of the spectrum of toluene, a UV-absorbing VOC found in the urban
atmosphere, is provided in the diagram below with an indication of where the Hg emission line overlaps with this highly structured spectrum. Note that for this compound the spectrum has a significant temperature dependence. The applicable temperature is that of the absorption cell within the ozone monitor. For most compounds, however, the temperature dependence of the UV absorption spectrum is very weak.

An internet search may be necessary for spectra of compounds not commonly found in the
atmosphere and thus not listed in the Max Planck Institute Spectral Index. In that case, molar
absorption coefficients may be found, especially in older literature, where absorbance is
expressed in units of M-1 cm-1, and defined using base-10 logarithm units instead of natural
logarithm units. In this case, the conversion factor is:

In the table below we provide estimates of S (selectivity factor) and 1/S for some selected
compounds. Note that these factors assume the maximum level of interference by a given
UV-absorbing compound, which occurs if the compound is completely removed by the internal
ozone scrubber during the measurement process. Generally, internal scrubbers pass interfering compounds to varying extents. An ideal scrubber would destroy all ozone while passing all other
species; in that case there would be no interference. This is the principle of our interference-free
Model 211 Scrubberless Ozone Monitor, which selectively scrubs ozone using pulse of NO gas.



To calculate the level of interference for a given compound, multiply the concentration of the
inferring compound by 1/S. For example, 100 ppb of SO2 would result in an apparent ozone
concentration of 100 x 0.013 = 1.3 ppb. In polluted atmospheres, the contribution of each VOC
may be very small, but because there are many different VOCs the sum of those interferences
can amount to a few ppb or even more. For example, one study found an interference of up to 30
ppb at a site in Mexico City (A.R. Leston, W.M. Ollison, C.W. Spicer and J. Satola, “Potential
Interference Bias in Ozone Monitoring,” Air and Waste Management Association 55, 1464-1472,
2005).
Solutions to Interference Problems
In most atmospheric environments, interferences from UV-absorbing compounds other than
ozone are insignificant. But on highly polluted days and in some indoor environments, other
UV-absorbing compounds can cause a positive error in the ozone measurement. However, those
interferences can be eliminated if the ozone monitor’s internal ozone scrubber completely passes
all UV-absorbing compounds. If the concentration of the UV-absorbing species is present at the
same concentration during the measurement of light intensity Io (ozone scrubbed) and I
(unscrubbed), it has no effect on the measured ozone concentration. This is because according
to the Beer-Lambert Law, in the limit of small absorbances the ozone concentration is proportional to the difference
between Io and I, which is unchanged if the species is present during both measurements:

The Model 211 Scrubberless Ozone Monitor achieves this by replacing the solid-phase scrubber
with a gas-phase scrubber in which nitric oxide gas is used to destroy ozone during the Io
measurement, while not reacting with other UV-absorbing species. More information about the
Model 211 Scrubberless Ozone Monitor can be found at:
http://www.twobtech.com/model_211.htm
2B Tech is currently developing an ozone monitor specifically for indoor applications. The Model
UV-IAQ-100 will be a highly portable, low power instrument that makes use of a patent-pending
heated graphite tube ozone scrubber that nearly quantitatively passes mercury and UV-absorbing VOCs, thus greatly reducing interferences from those species.