Skip to content
English
  • There are no suggestions because the search field is empty.

What is the update on the Ozone UV Absorption Cross Section

In October of 2023 and January of 2025, the US EPA issued new guidance regarding the ozone absorption cross section at 253.65 nm. This technical note outlines some background on the ozone absorption cross section value and the reason for the change

Technical Note No. 070
Ozone UV Cross Section Update
Date: March 31, 2025
Authors: Luke Yarbrough, Peter Andersen

Summary:
In October of 2023 and January of 2025, the US EPA issued new guidance regarding the ozone 
absorption cross section at 253.65 nm. This technical note outlines some background on the 
ozone absorption cross section value and the reason for the change, technical details of the 
change, and what this means for users of 2B Technologies ozone monitors.

Tools/Materials Needed
None.


Introduction
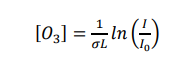
The absorption cross section per molecule (σ) is a constant used in photometry to calculate the 
concentration of ozone from the measurement of the absorption of ultraviolet light. It is 
implemented according to Beer’s law:

                                                                                                                (1)

where σ is the UV absorption cross section, L is the path length of the instrument’s absorption 
cell, I is the light intensity after passing through sample air inside the cell, and Io is the incident 
light intensity, measured in photometry after passing through the cell in the absence of ozone.
[1]


For several decades, the value of the ozone UV absorption cross section as measured by A. G. 
Hearn was the NIST and EPA accepted value equal to 1.146 × 10-17 cm2 molecule-1 (308.32 atm-1 cm-1 at standard temperature and pressure) with an estimated uncertainty of 1.4% [2]. After Hearn’s original published work, multiple gas phase titration (GPT) studies called this accepted value into question. In April of 2019 in cooperation with the National Institute of Standards and Technology (NIST) and the International Bureau of Weights and Measures (BIPM). Hodges et al. published a literature review recommending the updating of the accepted ozone cross section value at 253.65 nm to 1.1329 × 10-17 cm2 molecule-1 (304.39 atm-1 cm-1 at standard 
temperature and pressure) with an estimated uncertainty of 0.31% [3]. Further review in late 
2020 by the BIPM’s Consultive Committee for Metrology in Chemistry and Biology – Gas 
Analysis Working Group (CCQM-GAWG) eventually led to the publishing of new regulations 
regarding the ozone cross section in October of 2024, a memo by EPA in November of 2024, 
and a final correction to the implementation process in January of 2025. A goal of the EPA 
guidance is to update all standards by the end of 2025 and all monitors by the end of 2026 [4, 5, 
6].